+91 9030748877
info@gvpbiolifesciences.com
PLOT-16-828/1 4th-Floor, SY NO:829/P,830/P,831/P INDUSTRIAL AREA DULLAPALLY, Hyderabad, Telangana-500014
Home
About Us
Services
Products
Contact Us
Infusion Bags
Product Details
Total API : 0
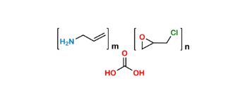
Sevelamer Carbonate
Sevelamer Carbonate
CAT No    :  
VS-S075000
CAS No    :  
845273-93-0
Mol.F.       :  
(C3H7N)m•(C3H5ClO)n•(CH2O3)x
Mol.Wt.    :  
NA
Status      :  
0
Explore More